银河集团(galaxy)(集团)机器人有限公司官网

MENU
  • 首 页
  • 关于我们
    银河集团(galaxy)概况 新闻公告 企业文化
    技术服务 机器人成果荟 产业集群 解决方案 教育培训
    实验室 标准查询 技术分享 订阅服务 活动报名
  • 技术服务整体解决方案
    银河集团(galaxy)概况 新闻公告 企业文化
    技术服务 机器人成果荟 产业集群 解决方案 教育培训
    实验室 标准查询 技术分享 订阅服务 活动报名
  • 开放共享
    银河集团(galaxy)概况 新闻公告 企业文化
    技术服务 机器人成果荟 产业集群 解决方案 教育培训
    实验室 标准查询 技术分享 订阅服务 活动报名
  • 关于我们
    研发与转化平台 标准服务平台 行业服务平台 检测认证平台
  • 技术服务整体解决方案
    技术服务 机器人成果荟 产业集群 解决方案 教育培训
  • 开放共享
    实验室 标准查询 技术分享 订阅服务 活动报名
  • 联系我们
    联系方式 电子地图 留言反馈
触达前沿智能机器人世界
  • 视频中心
  • 新闻中心
首页 > 新闻中心 >

正文

机器人MTBF如何评定?

时间:2020-05-15 15:32:00 来源:银河集团(galaxy)(集团)机器人有限公司官网

随着机器人在制造、服务等行业的快速推广与应用,机器人产品的运行可靠性水平,逐渐受到机器人研制方与使用方的关注。如何评价机器人的运行可靠性水平,当前业界普遍以MTBF来表征,如ABB机器人早年(2014年)公开材料中MTBF 50,000 hrs[1];KUKA新型 KR QUANTEC机器人 MTBF400,000个运行小时[2]。对于各型机器人MTBF值的评定方式较多,业界暂无统一标准,下文将逐一揭晓。

 


▍何为MTBF

 

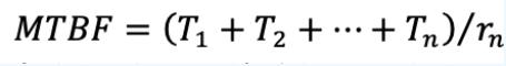
MTBF(Mean time between failures 平均故障间隔时间)其度量方法为:在规定的条件下和规定的期间内,产品寿命单位总数与故障总次数之比。一般用来表征可修复产品。计算公式:

 


 

式中,MTBF——该型/批次产品的平均故障间隔时间,h;

T_i——第i台产品的累计工作时间,h;

r_n——参与统计的n台该型/批次产品的工作时间内的故障总数。

 

▍MTBF工程边界

 

对于MTBF这个概念,可靠性领域在上个世纪50年代已开始用于预计相关军用设备的可靠性水平[3],到现在近70年。当然对于这个概念,在各行业产品的应用,还存在些“非议”,如很多人将MTBF与一般意义寿命混为一谈;MTBF达近百万小时的芯片或者电子设备如何评定。为解决这些工程界困惑,我们还须引入可靠性领域另外一个概念“Bathtub curve”。“浴盆曲线”定义最早出现在上个世纪60年代[4],它将失效率曲线在产品寿命周期内分成三个阶段:早期失效期(“Burn-in” Period)、偶然失效期(Normal Operating Period)、耗损失效期(Wear-out Period)。

 


失效率,工程上通常定义为:工作到某时刻尚未发生失效的产品,在该时刻后单位时间内发生失效的概率,一般用下式进行计算:

 


式中,∆r(t)为t时刻后,∆t时间内发生失效的产品数;∆t为所取时间间隔;N_s (t)为在t时刻没有发生失效的产品数。

 

通过上述定义可知,在∆t时间内发生失效的产品比例较小时,工程上一般会简化处理,将MTBF=1⁄λ,事实上MTBF略小于1⁄λ。回归到上图浴盆曲线,可见MTBF表征的是纵坐标相关的Failure Rate,而非横坐标寿命(Life Expectancy)。同时,鉴于偶然失效期的失效机理一致性高、失效率稳定,工程上通常用MTBF表征此阶段的产品可靠性水平。事实上,MTBF指标的工程优势,在于它对产品使用方的工程价值,远高于产品研制方,因为更方便运用于管理设备运行时间管理、维修及备件成本控制。

 

▍机器人MTBF的评定问题

 

事实上,可靠性工程中对于MTBF定量计算主要有2类工作:

 

一是产品早期设计阶段的可靠性(MTBF)预计,二是产品后期样品阶段的可靠性(MTBF)评定。

 

(1)MTBF预计

 

机器人MTBF预计,国内在上个世纪90年代技术已较为成熟并开展行业应用[5]。在可靠性领域目前亦有通用的权威性标准,像MIL-HDBK-217、GJB/Z299B、Bellcore等。我们知道MTBF预计工作由于其依赖于历史数据、计算的影响因素条件与的条件存在偏差,工程上更多用于架构方案间的对比以及产品基础可靠性的预计,其预计值难以作为实际机器人可靠性水平评定值。

 


(2)MTBF评定

 

机器人MTBF测评的工作,工程上还须依赖于产品实际运行数据或者试验结果。基于实际运行数据的MTBF评定,当前在B2B商业行为中存在较多,往往是双方技术互信度高,评定多为大型复杂装备,难以形成标准。可靠性工程中更多的MTBF评定工作是基于可靠性试验的方式。

 

我们知道针对基于可靠性试验的MTBF评定,关键之一是要明确试验剖面与条件,简单说就是试验剖面条件与实际工作运行条件之间的定量关系。军用装备的可靠性评定,全球各个大国均有独立的试验标准方法,像我国的GJB899、美国的MIL-STD-781。

 

由于军用装备的特殊性,这些可靠性评定标准亦已规定了产品的试验剖面与MTBF量化评定关系。但对于像机器人,这类大多数民用产品,很难形成统一用户场景、使用条件、维修条件等。当前我国有些器件级或模块级产品,亦制定了MTBF评定标准,并包含了试验剖面,如GB/T 29482.1-2013、GB/T 32245-2015。

 


机器人产品组成较为复杂,既包含了传统金属结构件为主的机械执行机构,也有电子电气等驱动控制系统。我们知道可靠性工程对上述系统,包含了以偶发性失效为主的可靠性评定需求,也存在以耗损性失效为主的寿命评定需求。

 

机器人行业当前处于孕育与成长期,经济与时间成本都十分宝贵。对于当前行业MTBF水平数万小时的机器人产品,如何准确与快速评定MTBF值是整个行业急需突破的技术困境。笔者所在单位已围绕机器人,构建了从零部件如控制器到整机系统的MTBF快速评定方法,相关标准亦在组织起草中,欢迎垂询。

上一条:DOBOT MG400桌面型工业机器人通过MTBF 20000 小时测评
下一条:移动机器人可靠性提升与安全研讨会
返回列表

推荐新闻

  1. 上研院与睿尔曼牵手共同打造具身智能高质量标准化数据集训练场

    2025-08-19
  2. 第一届上海市机器人等数字技术专业职称申报政策宣讲会顺利召开

    2025-08-14
  3. 云上鏖战,智造未来——第十届 “创客中国”智能机器人中小企业创新创业大赛半决赛圆满收官,48强团队晋级总决赛!

    2025-08-13
  4. 国家标准《工业机器人静电安全规范》等三项标准工作启动

    2025-05-07
  5. 关于征集第十届“创客中国”智能机器人中小企业创新创业大赛评委的通知

    2025-04-29
  6. 共探高质量、发布新成果——2025人形机器人产业高质量发展论坛顺利召开

    2025-04-27
  7. 镇江市党政代表团一行赴机器人银河集团(galaxy)考察

    2025-04-25
  8. 定立场,测关节,论数据-全国人形机器人检测认证工作组2025年第二次会议于深圳顺利召开

    2025-04-25
  9. 我院承办的第十届“创客中国”智能机器人中小企业创新创业大赛新闻发布会顺利召开

    2025-04-18
  10. 福州人形机器人训练场启动并接入国家级测评平台

    2025-04-15
  11. 安全性能国际接轨启新章——工业机器人CR认证新规研讨于沪召开

    2025-04-15
  12. 政企携手谋新篇---上电科领导西南行暨卡诺普机器人全系列产品CR认证签约仪式在蓉举行

    2025-03-12
  13. 市科委主任骆大进调研机器人银河集团(galaxy):肯定成绩,寄予厚望

    2025-03-10
  14. 行业观察丨马斯克:Optimus人形机器人或将超越特斯拉汽车业务

    2025-08-06
  15. ABB全系列机器人CR认证战略合作签约

    2025-02-25
  16. KUKA机器人再添新认证

    2025-01-27
  17. 国评中心与京沪两地人形机器人共建创新中心共同举办人形机器人产业发展论坛

    2024-11-20
  18. 人形机器人检测认证工作组正式成立

    2024-11-22
  19. 守安全底线、 保本体可靠、促智能发展,全国人形机器人检测认证工作组会议顺利召开

    2025-02-27
  20. 我院专家获得"机器人"领域国际电工标准化1906奖

    2024-10-14
  21. 国评中心(总部)为安川颁发机器人洁净级认证证书!

    2024-09-25
  22. JAKA拿下协作机器人全系列CR认证“001”证书

    2024-09-19
  23. KUKA全系列机器人获得CR认证

    2024-09-14
  24. 2024世界机器人大会机器人行业规范检测与技术分论坛在京圆满举行

    2024-08-25
  25. 国评中心(总部)北京测评中心正式揭牌!

    2024-08-24
  26. 首届智能机器人分级分类评价创新论坛在上海召开

    2024-07-05
  27. 上海成立机器人概念验证中心

    2024-06-25
  28. 【研发成果】轻量化、模块化、智能化的移动机器人面市!

    2024-06-20
  29. 机器人赛道逐渐拓宽,人形机器人正当时?

    2024-07-01
  30. 【祝贺】艾利特CS系列协作机器人通过100000小时MTBF测评!

    2024-01-03
  31. 协作无界,“加”速未来—2023首届中国(盐城)机器人+新能源产业发展大会在盐城顺利召开

    2023-12-25
  • 关于我们
    银河集团(galaxy)概况 新闻公告 企业文化
  • 技术服务整体解决方案
    技术服务 机器人成果荟 产业集群 解决方案 教育培训
  • 开放共享
    实验室 标准查询 技术分享 订阅服务 活动报名
  • 人才管理
    用人理念 职业发展 员工风采 人才招聘
  • 联系我们
    联系方式 电子地图 留言反馈
  1. 官方微信视频号

  2. 官方微信公众号

电话:

021-62222910

地址:上海市普陀区曹杨路800号18号楼

版权所有©2001-2021 银河集团(galaxy)(集团)机器人有限公司官网 沪ICP备18037447号-2 沪公网安备 31010702006397号网站地图

  • 首页
  • 关于我们
  • 技术服务整体解决方案
  • 开放共享
  • 人才管理
  • 联系我们